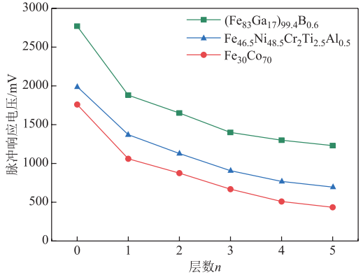
为测试磁致伸缩位移传感器样机测量盲区变化,搭建优化后的测试实验平台。分别(Fe83Ga17)99.4B0.6、Fe30Co70和Fe46.5Ni48.5Cr2Ti2.5Al0.5作为波导丝,在检测线圈处增加不同层数的磁屏蔽装置,使用示波器记录传感器输出的脉冲响应电压波形。下图为不同层数磁屏蔽装置情况下,实验测量的三种波导丝传感器脉冲响应电压幅值的变化。脉冲响应电压幅值随着磁屏蔽层数的增加而减小,逐渐接近永磁体距离检测线圈较远时的电压幅值。这表明随着磁屏蔽装置层数的增加,永磁体对检测线圈的影响逐渐减小。
在不同层数磁屏蔽装置的情况下,实验测量了三种波导丝传感器测量盲区的变化,如下图所示。
实验结果表明:当磁屏蔽装置在3层以内时,测量盲区随着磁屏蔽装置层数的增加而快速减小。当磁屏蔽装置大于3层时,测量盲区随层数的增加而缓慢减小。因此,在考虑成本的前提下,磁屏蔽装置为3层时屏蔽效率较高,此时(Fe83Ga17)99.4B0.6波导丝传感器测量盲区持续时间由30.05μs缩短为18.45μs,宽度缩短了38.6%;Fe30Co70波导丝传感器测量盲区持续时间由29.55μs缩短为18.85μs,宽度缩短了36.2%;Fe46.5Ni48.5Cr2Ti2.5Al0.5波导丝传感器测量盲区持续时间由31.15μs缩短为19.15μs,宽度缩短了38.5%。
本文为拓宽磁致伸缩位移传感器在测量空间受限环境下的应用范围,研究了磁致伸缩位移传感器的测量盲区,通过减小静磁场对于检测线圈的影响,缩短了传感器检测线圈处的测量盲区。基于魏德曼效应、磁弹性耦合效应和维拉里效应建立了磁致伸缩位移传感器的测量盲区模型,计算了磁致伸缩位移传感器的测量盲区。计算表明:随着永磁体到检测线圈直线距离的减小,检测线圈处的轴向磁场强度会逐渐增大,导致传感器测量盲区的持续时间增加。
通过研究永磁体产生的轴向偏置磁场与测量盲区之间的关系,验证了增加磁屏蔽装置来缩短测量盲区的有效性。确定了最佳磁屏蔽装置参数,制作了优化后的磁致伸缩位移传感器样机。通过实验证明了样机在靠近检测线圈处的测量盲区有效减小,可以应用于测量空间有限情况下的高精度位移测量。该研究可为磁致伸缩位移传感器的优化设计提供理论依据与指导。


微信扫一扫